J. Fluid Mech. (2004), vol. 507,
pp. 255-264. © 2004 Cambridge University Press DOI:
10.1017/S0022112004009012 Printed in the United Kingdom
New solutions for capillary waves on fluid sheets
By M. G. BLYT H AND J.-M. VANDEN-BROECK
School of Mathematics, University of
East Anglia, Norwich NR4 7TJ, UK
(Received 16 December 2003 and in revised
form 11 March 2004)
The classical problem of nonlinear capillary waves
on two-dimensional fluid sheets is reconsidered.
The problem is formulated in terms of a complex potential, and solutions are sought using Fourier series expansions. A
collocation technique combined with Newton's
method is used to compute the Fourier coefficients numerically. Using this procedure, the exact solutions of Kinnersley (1976) are recomputed and various symmetric and antisymmetric
wave profiles are presented, including the limiting configurations which exhibit trapped bubbles of
air. Most important, three new solution
branches which bifurcate nonlinearly from the symmetric Kinnersley solution branch are identified. The wave profiles along these new branches do not
possess the symmetry or antisymmetry of the Kinnersley
solutions, although their limiting configurations
also display trapped air bubbles. No bifurcations are found along the antisymmetric Kinnersley solution
branch.
1. Introduction
Crapper (1957) obtained exact nonlinear solutions
for capillary waves on fluid sheets of infinite depth in terms of elementary
functions. His results demonstrated that
sharp troughs develop as the wave amplitude is increased until,
ultimately, a limiting profile is
reached with a trapped air bubble appearing at the trough. Beyond this point, the solutions intersect themselves and
must be discarded on physical grounds.
Later, Vanden-Broeck & Keller (1980) showed how
the solutions could be extended beyond
this limiting configuration by allowing the pressure in the trapped bubble to differ from the ambient pressure above
the fluid. With a view to modelling the effect
of a surfactant on the capillary waves, Vanden-Broeck
(1996) numerically computed new
solutions for variable surface tension using a collocation technique.
Taylor (1959) showed that small-amplitude surface
waves on thin fluid sheets can exist
either in a symmetric configuration, in which a trough on one surface opposes a
peak on the other surface, or in an antisymmetric configuration, where a peak faces a trough, and presented some experimental results. Kinnersley (1976) generalized Crapper's analysis to the case of fluid sheets of
finite thickness and obtained exact nonlinear
solutions, which are the large-amplitude analogues of Taylor's linear waves. Kinnersley derived a dispersion relation for the
finite-amplitude waves in terms of elliptic
functions and showed that it reduced to Crapper's result in the limit of infinite depth. For fluid sheets of finite
thickness, he demonstrated that a maximum wave amplitude is attained. Beyond this, the
solutions self-intersect and lose physical significance. Very few waves profiles are shown
in Kinnersley's paper, although the appearance of trapped bubbles is noted in the
limiting case of thin sheets. Kinnersley's results were rederived
in a simpler form by Crowdy (1999), who reconsidered
the problem using a new complex variable approach.

In this paper, we
readdress the
problem of capillary waves on fluid sheets of finite thickness. We recompute typical symmetric and antisymmetric wave profiles corresponding to the exact Kinnersley solutions, with a view to clearly demonstrating the shape of finite-amplitude wave profiles up to the
trapped-bubble limit. We follow
a numerical approach
based on an iterative point collocation method, adapted from that used by Vanden-Broeck
(1996). In particular, we investigate the possibility of solutions
without the symmetry or antisymmetry of the Kinnersley waves. A linearized analysis along the lines of Taylor
(1959) shows that, for small-amplitude waves, there cannot be an arbitrary phase shift
between the upper and lower surfaces, and only the symmetric and antisymmetric
solutions are possible in this limit. However, by numerically tracing the symmetric
solution branch into the nonlinear regime, we identify three new solution branches which emerge
as bifurcations at finite amplitude. Typical wave profiles along these new branches are
presented, and it is shown that along each new branch a limiting configuration
is reached which features trapped bubbles of air. No bifurcations are found along the antisymmetric solution branch. Our new solutions are reminiscent
of those computed by Chen & Saffman (1980) for pure gravity waves.
2. Problem formulation
We reconsider the classical problem of a
two-dimensional -sheet of fluid of finit thickness, surrounded by air, on which a train of
periodic waves of wavelength A ar
travelling at a constant speed, as
shown in figure 1. We adopt a frame of reference ii which the fluid motion is steady. The fluid is
assumed to be inviscid, incompressible and irrotational, so that
the flow within the sheet is governed by Laplace's equation
We introduce a complex potential f = fi+ipsi, where fi(x, y) is the velocity
potential and psi(x, y)
is the stream function defined so that = 0 on the upper surface an( 1/r
= Q, with
Q < 0, on the lower surface. The wave speed c is
defined by taking the average
velocity u = grad fi over one
period of a streamline, so that
![]()
where dx
= (dx, dy). This implies
that when x varies by an amount A over a wavelength, then c varies by clamda. Since
the flow is irrotational, c is
the same for any choice of streamline.
Choosing f to be analytic inside the fluid domain, it only remains to satisfy the normal stress balance at
the upper and lower free surfaces. Thus,
it is required that
![]()
where p is the fluid pressure, pa is
the atmospheric pressure, y is the
surface tension, and
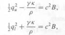
K = div n is the surface curvature, with n the unit surface normal pointing downwards. Applying Bernoulli's equation at each surface,
and using (2.2), (2.3), we have

(2.4)
(2.5)
where qt„ ql are the fluid speeds on the upper and lower surfaces
respectively, and p is the fluid density. The Bernoulli constant ccB is to be determined. Exact
solutions to this problem were given by Kinnersley (1976). These were later presented in a simplified form by Crowdy
(1999). In the case of a semi-infinite fluid sheet, exact solutions were obtained by Crapper (1957). We compute
solutions numerically using the collocation method of Vanden-Broeck (1996).
We work
in the hodograp coordinates (fi,psi ). Defining the velocity components u = fi,x v = fi,y our goal is to compute u — iv as an analytic function of f . All computed waves are symmetric about 0 = 0. Introducing tau(fi,psi) — itheta(fi, psi), defined so that
(2.6) ![]()
we may express the
surface curvature K as
(2.7)
![]()
Referring velocities to the wave
speed c and lengths to the wavelength A, we now write variables as dimensionless quantities and seek
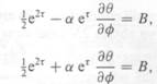
solutions which are periodic in 0 with a unit period. According to the preceding definitions, (2.4) and
(2.5) become

where the dimensionless
parameter![]()
is defined by![]()
(2.8)
(2.9)
(2.10)
Following Vanden-Broeck
& Miloh (1995), we express the solution in the
form of an infinite
series,
(2.11)
where a0 and the coefficients an,
bn are to be found. Note that all of these coefficients are real. This follows from the assumed symmetry about 0 =
0. Previous workers (Taylor 1959; Kinnersley
1976; Crowdy 1999) have computed both symmetric
waves, where a trough on the upper wave
opposes a peak on the lower wave, and antisymmetric waves, where a trough faces a trough. For the symmetric
waves, by noting that
![]()
![]()
(2.12)
we see that the following relationship holds between
the series coefficients:
![]()
Similarly, for the antisymmetric waves, by noting that
![]()
a similar relationship holds, namely,
![]()
(2.13) (2.14) (2.15)
Two
distinct approaches to calculating the waves present themselves. First, we can adopt either of the formulae
(2.13) or (2.15) and compute symmetric or antisymmetric
waves. Second, we
can make no prior assumptions about the coefficients and confirm the
relationships (2.13) and (2.15) a posteriori. The latter approach leaves open the possibility of computing new
solutions without any assumed symmetries.
2.1. Numerical method
In practice we must terminate the
two series in (2.11) at a finite level. Fixing the surface tension parameter a, and truncating each series after N — 1 terms, we determine the 2N unknowns B, a0 and an, bn,
n = 1, ... , N — 1, by introducing N
collocation
points 0; along the
upper wave, and N
— 1 points 0;
along the lower wave, with
(2.16)
Consistent with the non-dimensionalization introduced above, the final condition comes from demanding that x change by a unit amount over one
period in 0. Thus, we
demand that
![]()
![]()
(2.17)
Substituting (2.11) into the Bernoulli conditions
(2.8) and (2.9) and condition (2.17) at each of the collocation points, we obtain 2N nonlinear algebraic
equations
for the 2N unknowns
iteratively using Newton's method.
To fully characterizethe solutions, we denote non-dimensional arclength along the wave by s and introduce the new dimensionless parameter T, defined on the upper surface ip
= 0 so that
![]()
The solution is
obtained
![]()
(2.18)
![]()
which
expresses the potential energy due to surface tension contained in the
distorted surface
(Schwartz & Vanden-Broeck 1979). In the case of a
flat surface, T =
O. With this definition, the dynamics is
described by the two free parameters a and T. Once a solution has been computed, x and y are obtained by integrating the identity
![]()
3. Results
A
first check on the numerical method is provided by recomputing
the exact solutions of Crapper (1957)
for waves on a fluid sheet of infinite depth. We obtained

FIGURE 2. Q = —0.5. Symmetric
waves for (a) a = 0.1013, (b) a = 0.1154, (c) a = 0.12949,
and (d) a = 0.14103, the
limiting configuration with trapped bubbles.
excellent agreement with Crapper's
dispersion relation between the wave speed and the wave steepness, that is the difference in
height between a trough and a crest. To check the scheme for finite fluid sheets, the exact
solutions of Kinnersley (1976) were recomputed. In figure 2 we
display some of the possible waves in the symmetric configuration when Q = —0.5 for increasing values of the
surface tension parameter a. In
figure 3, some antisymmetric waves are shown for Q = —0.5 and various values of a. The numerical scheme was
implemented first adopting the relationships (2.13) and (2.15), and then under
general conditions. In the latter case, the relationships were confirmed numerically after
convergence. For both the symmetric and antisymmetric
waves, the
computations are continued up to the limiting configuration with a small trapped air bubble. Continuing
beyond this point, we obtain self-intersecting waves, which are of no physical
relevance. To demonstrate convergence of the numerics.
decay rapidly with n.
A linearized analysis along the lines of Taylor (1959)
reveals that, in the limit of small-amplitude periodic perturbations, only symmetric or antisymmetric disturbances are permitted. Therefore there cannot be an
arbitrary phase shift between the upper and lower surface waves. However, this does not prevent
other types of wave profile from appearing as nonlinear bifurcations from the symmetric or antisymmetric
![]()
we note that, for figure 3(a) where
with
![]()
we have
![]()
and so the
coefficients a„, b„

FIGURE
3. Q = —0.5. Antisymmetric
waves for (a) a = 0.1853,
(b) a = 0.2038, (c) a = 0.2223,
and (d) a = 0.2426, the limiting configuration with trapped
bubbles.
solution branches. To
investigate these, we follow the symmetric and antisymmetric
solution branches and look for
bifurcations at finite amplitude. Following the symmetric branch, we monitor
the sign of the determinant of the Jacobian matrix, 1 V II, where the gradient is taken with respect
to the unknowns fl. For illustrative purposes, we consider the case Q = —0.1.
As the surface tension parameter a is varied, the determinant changes sign three times
along the branch. This suggests the existence
of bifurcation branches (e.g. Keller 1977). By computing the eigenvector corresponding to the numerically smallest eigenvalue of the Jacobian matrix
at the point where the determinant
changes sign, and aligning our initial guess for Newton's method with this eigenvector, we are able to step
off the symmetric branch onto the new
solution branch. This procedure was repeated at the other two bifurcation points. The resulting bifurcation diagram is
displayed in figure 4. The new solution branches, which are shown as broken
lines, are continued up to the point where the corresponding wave profiles
exhibit a trapped bubble and thereafter self-intersect. We took N = 65 to
accurately resolve the more intricate wave profiles. For example, on branch 1 in figure 4, when a = 0.2870 we compute T = 0.8250
with N = 15, T = 0.9230 with
N = 35, T = 0.9238 with N = 55, and T = 0.9238 with
N = 65. For the simpler profiles,
far fewer modes are required. The wave profiles on branches 1, 2 and 3 can be
seen in figures 5, 6 and 7 respectively. Concerning secondary bifurcations from
these new solution branches, we note that the determinant of the Jacobian matrix remains
single-signed along each of these branches up to the point of self-intersecting
profiles.

FIGURE
4. Bifurcation
diagram showing the symmetric branch (solid line) and the three new
solution branches (broken lines) for
the case Q = —0.1.

FIGURE 5. Q = —0.1.
Wave profiles on branch 1 for (a) a =
0.2783, (h) a = 0.2794,
(c) a = 0.2840, and (d) a = 0.2943, the limiting
configuration with a trapped bubble at x
= 1.0. The vertical scale has been exaggerated to show clearly
the trapped bubbles.

FIGURE 6. Q = —0.1. Wave profiles on branch 2 for (a) a = 0.2900, (b) a = 0.2913, (c) a = 0.2977, and (d) a = 0.3025, the
limiting configuration with a trapped bubble at x = 1.0. The vertical
scale has been exaggerated to show clearly the trapped bubbles.
The numerical output suggests that, for wave profiles
on branch 2,
(3.1)
![]()
Under this condition, we find the
following dependence between the series coefficients:
![]()
(3.2)
By assuming this
relationship a priori, we
successfully recompute the profiles on branch 2. There do not appear to be simple
dependences between the coefficients for the wave profiles on branches 1 and 3.
Topologically, the new waves on branch 3 arise by
lowering the troughs and crests of the symmetric waves, thereby
destroying their symmetry but retaining their original wavelength. On the other hand, wave profiles on branches 1 and 2 arise
by pulling down the middle section of
a wavelength (see figures 5 and 6). The main symmetric branch in
figure 4 has been computed so
that one period in 0 contains three wavelengths
(see figure 5(a), for example). As a result, the only non-zero coefficients an, b„ occur
if n
= 0 (mod 3). Computationally, there is the
possibility of obtaining new
bifurcation branches with topologically different profiles when m wavelengths are included within one 0 period along the main symmetric branch; in this case, the only non-zero coefficients occur if n
= 0 (mod in). However, our investigations have not

FIGURE 7. Q
= —0.1. Wave profiles on branch 3 for (a) a =
0.2960, (6) a =
0.2990, (c) a = 0.3083,
up to the limiting eonfiguration with trapped bubbles
at (d) a = 0.3176. The vertical scale has been exaggerated to show clearly the
trapped bubbles.
uncovered further bifurcation
branches with qualitatively new wave profiles. When Q is
varied, the number of bifurcation points along the symmetric branch varies. For
example, when Q = —0.4,
there are no bifurcations; there are two when Q = —0.2, three when Q
= —0.1, and one when Q
= —0.05. Interestingly, the wave
profiles along branch 3 are similar to
those computed by Crowdy (2001) for capillary waves on a fluid annulus in the limit as the number of
waves packed around the annulus tends
to become large. However, the surface tension on the inner
and outer surfaces of the fluid annuli for Crowdy's solutions are generally different.
We have also looked for bifurcations from the antisymmetric Kinnserley branch. The determinant of the Jacobian
matrix remains single-signed along the antisymmetric branch when m = 3, up to the limiting configuration
with a trapped bubble. The same is
true when in = 4 and m = 5. We repeated these calculations for several values of Q
with similar results. It would
appear that there are no bifurcations from the antisymmetric
branch, and hence no additional new solutions.
4. Summary
We have adapted the Fourier-series-based numerical
method of Vanden-Broeck & Miloh (1995) to
computing nonlinear capillary waves on fluid sheets of finite thickness. The numerical code was tested by recomputing the exact solutions of Crapper (1957) and Kinnersley
(1976). An assortment of profiles for both symmetric
264 M. G. Blyth and J.-M. Vanden-Broeck
and antisymmetric waves are presented. More importantly, we
identified at most three
new branches of solution, which bifurcate nonlinearly from the symmetric Kinnersley branch and exhibit qualitatively
different wave profiles. The number of bifurcations along the symmetric branch is a function of
Q, the flux along the fluid sheet. Profiles along each of the new solution branches eventually reach
a limiting configuration
featuring trapped bubbles of air. Continuing along the branches, the profiles self-intersect and become
physically irrelevant. It is possible that, following Vanden-Broeck & Keller (1980), physically
realizable solutions might be obtained beyond the limiting state by allowing the bubble pressure
to differ from the ambient pressure outside the fluid sheet, although we have not pursued this
point here. No bifurcations
were found on the antisymmetric branch.
An interesting
question is whether or not our new waves can be represented by exact solutions. Crowdy (1999) derived a general theoretical framework to
obtain such exact
solutions. It would appear from his Theorem 2.4 that our new numerical solutions should in principle be
describable using a conformal mapping, which is given by an explicit formula. Crowdy
also describes the properties that the relevant conformal mappings must possess if solutions exist.
This information should prove useful in obtaining exact solutions. However, we have not sought such a
representation here.
REFERENCES
CHEN, B.
& SAFFMAN, P. G. 1980 Numerical evidence for the existence of new types of
gravity waves of permanent form on deep
water. Stud. Appl. Maths 62, 1-21.
CRAPPER, G. D. 1957 An exaet solution for progressive
capillary waves of arbitrary amplitude. J.
Fluid Mech. 2, 532-540.
CROWDY, D. G. 1999
Exact solutions for steady capillary waves on a fluid annulus. J. Nonlinear Sci. 9,
615-640.
CROWDY, D. G. 2001 Steady nonlinear capillary
waves on curved sheets. Eur. J. Appl. Maths 12,
689-708.
KELLER, H. B. 1977
Applications of Bifurcation Theory. Academic.
KINNERSLEY, W. 1976 Exact large
amplitude waves on sheets of fluid. J. Fluid Mech. 77, 229-241. SCHWARTZ, L. W.
& VANDEN-BROECK, J.-M. 1979 Numerieal
solution of the exact equations for capillary-gravity
waves. J.
Fluid Mech. 95, 119-139.
TAYLOR, G. I. 1959 The dynamics of thin sheets of fluid. II. Waves on fluid
sheets. Proc. R. Soc. Lond. A 253, 296-312.
VANDEN-BROECK,
J.-M. 1996
Capillary waves with variable surface tension. Z. Angew
Math. Phys. 47, 799-808.
VANDEN-BROECK, J.-M. & KELLER, J. B. 1980 A new family
of eapillary waves. J. Fluid Mech. 98,
161-169.
VANDEN-BROECK, J.-M. & MILOH, T. 1995
Computations of steep gravity waves by a refinement of Davies-Tulin's
approximation SIAM J. Appl. Maths 55,
892--903.